Si tú y tu media naranja estaban saliendo y ahora están pensando en hacerlo oficial, ¿adivinen qué? ¡Facebook ya sabe!, o bien si es que están pensando en dejarla ahí y terminar la relación, pues ya no es más un secreto porque también lo sabe.
La red social sabe todo sobre nuestras vidas, lo que significa que sabe cómo, cuándo y con quién son nuestras citas, nuestros mejores y más especiales momentos y por desgracia, cuando nos separamos de nuestra pareja. Con todo el cúmulo de información Facebook realizó un estudio con base en los datos de parejas alrededor del mundo y compartió algunos hechos sorprendentes de las relaciones.
Ahí les va:
Por ejemplo , dos personas que están a punto de entrar en una relación interactúan muchísimo durante los 100 días previos a oficializar su estado de “en una relación” (o cualquiera que sea el cambio de estado que quieran darle)- hasta llegar, según Facebook, a una media de 1,67 posts por día en los 12 días antes del inicio de la relación. ¡Exacto, es muy poco!, pero los números no mienten y eso demuestra que la pareja ha declinado su interacción en la red porque pasan más tiempo juntos fuera de línea.
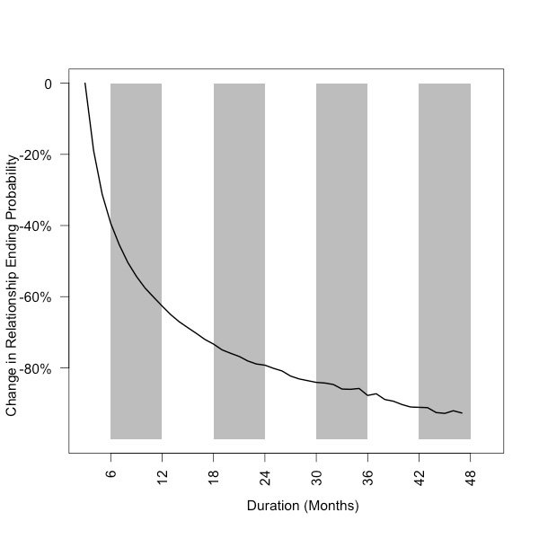
Pero tal vez la métrica más impactante que el sitio está compartiendo ahora es cómo se puede predecir si un romance durará o no (!)
Un análisis más detallado muestra que la mitad de todas las relaciones que sobreviven a los primeros tres meses de relación, van a terminar juntos alrededor de cuatro años o más (Pff), mientras que si una pareja truena, lo más probable es que lo haga entre mayo y julio.
Eso no es todo, DataFacebook también compartió datos acerca de las relaciones que se forman de acuerdo a diferencias o similitudes religiosas, por género y edad en diferentes partes del mundo.
¿Qué tal eh?



